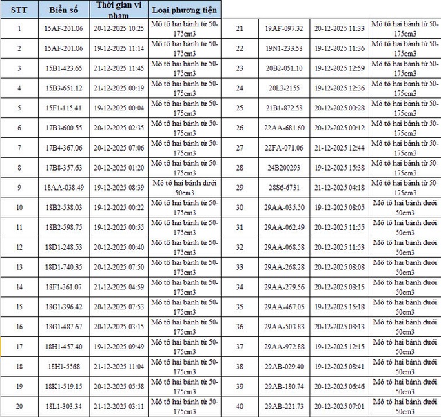
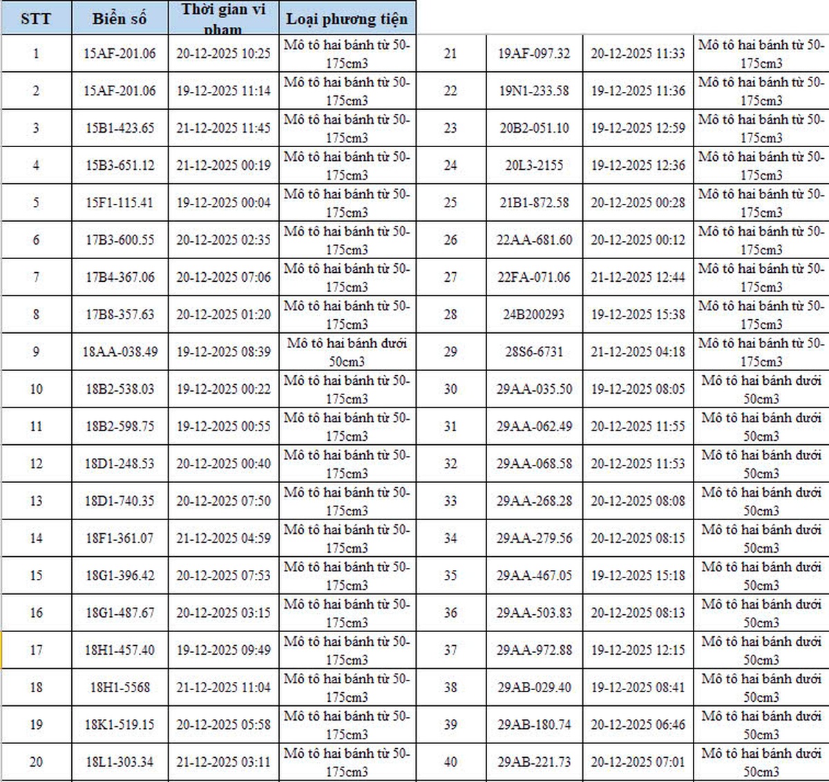
Danh sách chi tiết 342 phương tiện bị phạt nguội qua camera AI ở Hà Nội
Ảnh minh họa
Phòng Cảnh sát giao thông, Công an TP Hà Nội vừa công bố danh sách 342 trường hợp phương tiện bị camera AI phát hiện vi phạm từ ngày 19-21/12/2025.
Theo đó, hệ thống Camera AI đã phát hiện, ghi hình 342 phương tiện, bao gồm 82 xe ô tô, 260 xe máy vi phạm TTATGT. Phòng Cảnh sát giao thông đã gửi thông báo đến các chủ phương tiện.
Chủ phương tiện, người điều khiển phương tiện có thể tra cứu thông tin “phạt nguội” trên ứng dụng VNeTraffic hoặc trang thông tin điện tử của Cục Cảnh sát Giao thông - Bộ Công an tại địa chỉ www.csgt.vn, hoặc liên hệ trực tiếp Đội Chỉ huy giao thông và điều khiển đèn tín hiệu giao thông (Phòng Cảnh sát Giao thông - Công an Thành phố Hà Nội) tại số 54 Trần Hưng Đạo, phường Cửa Nam, thành phố Hà Nội, điện thoại: 0692.196.440 để được hướng dẫn, giải quyết.
Danh sách ô tô vi phạm:


Danh sách xe máy vi phạm:





