Toyota Việt Nam thu hồi hàng loạt xe do lỗi phần mềm hỗ trợ đỗ xe
Ủy ban Cạnh tranh Quốc gia (Bộ Công Thương) vừa thông báo về chương trình thu hồi một số dòng xe ô tô Toyota và Lexus nhằm cập nhật phần mềm điều khiển hệ thống hỗ trợ đỗ xe.
Theo thông báo, chương trình thu hồi áp dụng cho các mẫu xe Toyota và Lexus được nhập khẩu và phân phối chính thức tại Việt Nam, gặp lỗi phần mềm điều khiển hỗ trợ đỗ xe, một bộ phận của hệ thống quan sát toàn cảnh (PVM). Lỗi này có thể khiến hình ảnh phía sau xe bị đứng hình hoặc không hiển thị khi bật khóa điện, làm tăng nguy cơ va chạm khi lùi xe nếu người lái không quan sát đầy đủ.

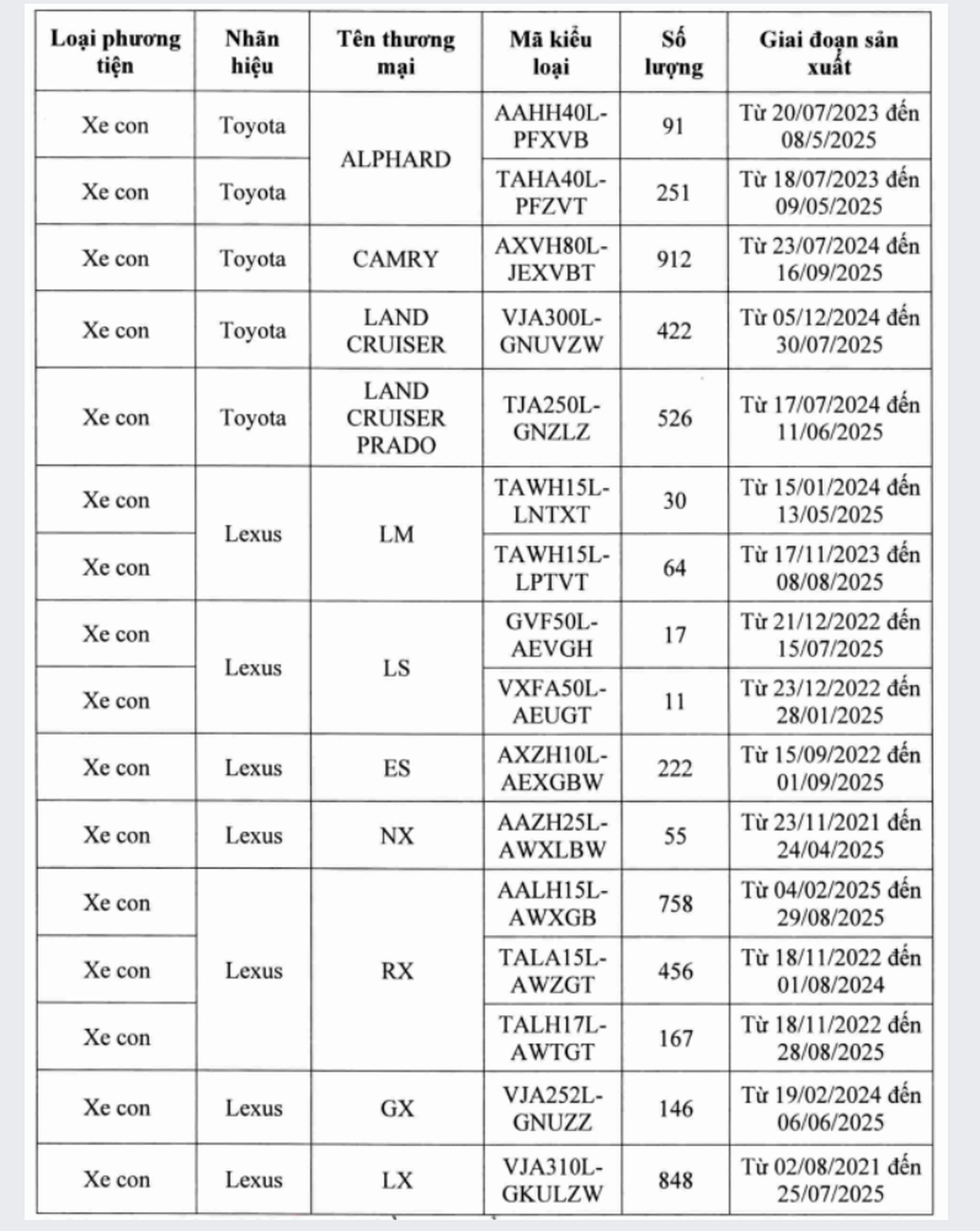
Các dòng xe của Toyota phải thu hồi để cập nhật phần mềm: Nguồn Ủy ban Cạnh tranh Quốc gia
Chương trình bắt đầu từ 31/12/2025 dự kiến kéo dài đến 30/12/2028. Chủ xe được khuyến cáo nhanh chóng đưa phương tiện đến các cơ sở bảo hành, bảo dưỡng Toyota và Lexus ủy quyền trên toàn quốc để được kiểm tra và cập nhật phần mềm miễn phí. Chủ xe cũng có thể kiểm tra số VIN để xác định xem xe đang sử dụng có nằm trong diện thu hồi hay không.
Cũng theo Ủy ban Cạnh tranh Quốc gia, với những xe Toyota nhập khẩu không chính hãng thuộc diện thu hồi theo công bố của Tập đoàn Toyota Nhật Bản (TMC), khi có yêu cầu từ chủ xe, Công ty sẽ hỗ trợ liên hệ với TMC để lấy thông tin. Sau khi nhận được xác nhận và đồng ý từ phía TMC, các cơ sở bảo hành bảo dưỡng Toyota và Lexus sẽ tiến hành sửa chữa miễn phí cho người tiêu dùng.
Trường hợp người tiêu dùng muốn kiểm tra thông tin xe đang sở hữu có nằm trong danh sách ảnh hưởng của chương trình này không, có thể liên hệ tới Công ty và các các cơ sở bảo hành bảo dưỡng Toyota và Lexus trên toàn quốc để được hỗ trợ.
Được biết, lỗi trên gặp phải trên 2.203 xe Toyota và 2.774 xe Lexus. Hãng này bắt đầu triệu hồi từ đầu cuối 2025 đến khoảng 2028.
Trong số các xe thuộc diện ảnh hưởng, thương hiệu Toyota có các dòng: Camry, Alphard, Land Cruiser Prado, Land Cruiser. Những xe này sản xuất trong giai đoạn 20/7/2023-20/7/2025.

Trong năm 2025, Lexus bán 2.252 xe, tăng 45% so với 2024
Với thương hiệu Lexus, các dòng sản phẩm gặp lỗi là ES, NX, RX, GX, LX, LM, LS. Những xe này sản xuất trong giai đoạn 2/8/2021-29/8/2025.
Các đại lý ủy quyền chính hãng của Toyota, Lexus tiếp nhận, khắc phục lỗi miễn phí cho các chủ sở hữu xe bị ảnh hưởng. Thời gian sửa chữa khoảng một giờ/xe.
Ủy ban Cạnh tranh Quốc gia cho biết, sẽ tiếp tục giám sát chương trình thu hồi do Toyota Việt Nam thực hiện nhằm đảm bảo quyền lợi và an toàn cho người tiêu dùng.
Lexus là hãng con của Toyota. Tổng doanh số hai hãng tại Việt Nam trong 2025 đạt hơn 74.200 xe. Trong đó. 71.954 xe thuộc thương hiệu Toyota, tăng khoảng 8% so với 2024. Lexus bán 2.252 xe, tăng 45% so với 2024. Doanh số này của hãng này đứng thứ hai thị trường sau VinFast.